



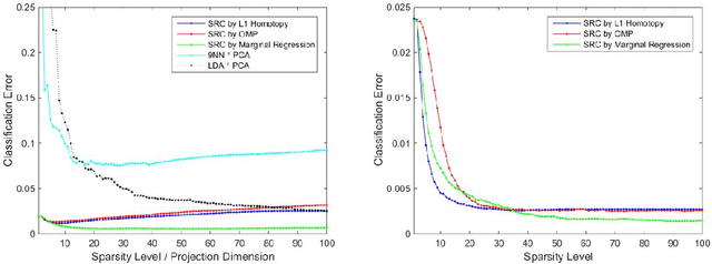
The sparse representation classifier (SRC) has been utilized in various classification problems, which makes use of L1 minimization and is shown to work well for image recognition problems that satisfy a subspace assumption. In this paper we propose a new implementation of SRC via screening, establish its equivalence to the original SRC under regularity conditions, and prove its classification consistency under a latent subspace model. The results are demonstrated via simulations and real data experiments, where the new algorithm achieves comparable numerical performance but significantly faster.