



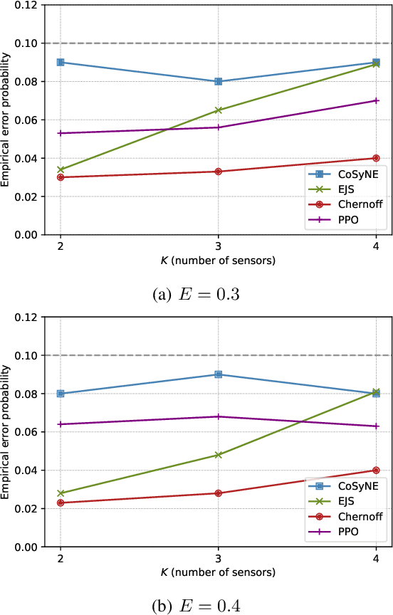
In this paper, we focus on one centralized and one decentralized problem of active hypothesis testing in the presence of an eavesdropper. For the centralized problem including a single legitimate agent, we present a new framework based on NeuroEvolution (NE), whereas, for the decentralized problem, we develop a novel NE-based method for solving collaborative multi-agent tasks, which interestingly maintains all computational benefits of single-agent NE. The superiority of the proposed EAHT approaches over conventional active hypothesis testing policies, as well as learning-based methods, is validated through numerical investigations in an example use case of anomaly detection over wireless sensor networks.