
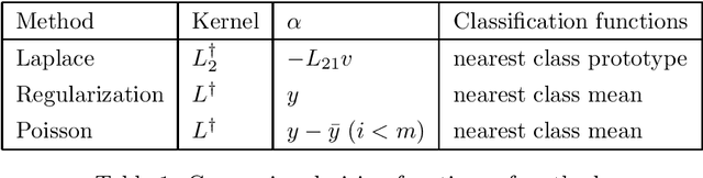
We explain Poisson learning on graph-based semi-supervised learning to see if it could avoid the problem of global information loss problem as Laplace-based learning methods on large graphs. From our analysis, Poisson learning is simply Laplace regularization with thresholding, cannot overcome the problem.