



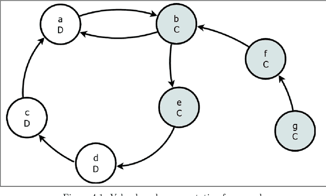
In his seminal paper, Phan Minh Dung (1995) proposed abstract argumentation framework, which models argumentation using directed graphs where structureless arguments are the nodes and attacks among the arguments are the edges. In the following years, many extensions of this framework were introduced. These extensions typically add a certain form of structure to the arguments. This thesis showcases two such extensions -- value-based argumentation framework by Trevor Bench-Capon (2002) and semi-abstract argumentation framework by Esther Anna Corsi and Christian Ferm\"uller (2017). The former introduces a mapping function that links individual arguments to a set of ordered values, enabling a distinction between objectively and subjectively acceptable arguments. The latter links claims of individual arguments to propositional formulae and then applies newly-introduced attack principles in order to make implicit attacks explicit and to enable a definition of a consequence relation that relies on neither the truth values nor the interpretations in the usual sense. The contribution of this thesis is two-fold. Firstly, the new semi-abstract value-based argumentation framework is introduced. This framework maps propositional formulae associated with individual arguments to a set of ordered values. Secondly, a complex moral dilemma is formulated using the original and the value-based argumentation frameworks showcasing the expressivity of these formalisms.