



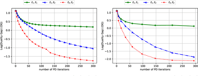
Markov Decision Processes (MDPs) are a widely used model for dynamic decision-making problems. However, MDPs require precise specification of model parameters, and often the cost of a policy can be highly sensitive to the estimated parameters. Robust MDPs ameliorate this issue by allowing one to specify uncertainty sets around the parameters, which leads to a non-convex optimization problem. This non-convex problem can be solved via the Value Iteration algorithm, but Value Iteration requires repeatedly solving convex programs that become prohibitively expensive as MDPs grow larger. We propose an algorithmic framework based on first-order methods, where we interleave approximate value iteration updates with a first-order-based computation of the robust Bellman update. Our algorithm relies on having a proximal setup for the uncertainty sets. We go on to instantiate this proximal setup for $s$-rectangular ellipsoidal uncertainty sets and Kullback-Leibler uncertainty sets. By carefully controlling the warm-starts of our first-order method and the increasing approximation rate at each Value Iteration update, our algorithm achieves a convergence rate of $O \left( A^{2} S^{3}\log(S)\log(\epsilon^{-1}) \epsilon^{-1} \right)$ for the best choice of parameters, where $S,A$ are the numbers of states and actions. Our dependence on the number of states and actions is significantly better than that of Value Iteration algorithms. In numerical experiments on ellipsoidal uncertainty sets, we show that our algorithm is significantly more scalable than state-of-the-art approaches. In the class of $s$-rectangular robust MDPs, to the best of our knowledge, our algorithm is the first to address Kullback-Leibler uncertainty sets.