



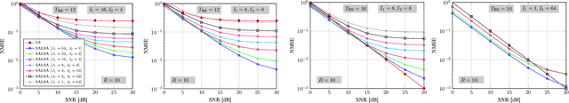
In this paper, we consider the channel estimation problem in sub-6 GHz uplink wideband MIMO-OFDM communication systems, where a user equipment with a fully-digital beamforming structure is communicating with a base station having a hybrid analog-digital beamforming structure. A novel channel estimation method called Sequential Alternating Least Squares Approximation (SALSA) is proposed by exploiting a hidden tensor structure in the uplink measurement matrix. Specifically, by showing that any MIMO channel matrix can be approximately decomposed into a summation of R factor matrices having a Kronecker structure, the uplink measurement matrix can be reshaped into a 3-way tensor admitting a Tucker decomposition. Exploiting the tensor structure, the MIMO channel matrix is estimated sequentially using an alternating least squares method. Detailed simulation results are provided showing the effectiveness of the proposed SALSA method as compared to the classical least squares method.