



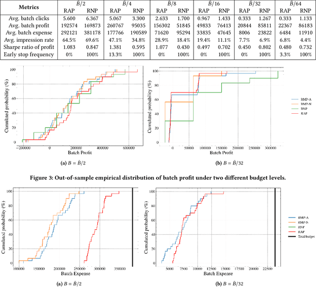
This research focuses on the bid optimization problem in the real-time bidding setting for online display advertisements, where an advertiser, or the advertiser's agent, has access to the features of the website visitor and the type of ad slots, to decide the optimal bid prices given a predetermined total advertisement budget. We propose a risk-aware data-driven bid optimization model that maximizes the expected profit for the advertiser by exploiting historical data to design upfront a bidding policy, mapping the type of advertisement opportunity to a bid price, and accounting for the risk of violating the budget constraint during a given period of time. After employing a Lagrangian relaxation, we derive a parametrized closed-form expression for the optimal bidding strategy. Using a real-world dataset, we demonstrate that our risk-averse method can effectively control the risk of overspending the budget while achieving a competitive level of profit compared with the risk-neutral model and a state-of-the-art data-driven risk-aware bidding approach.