



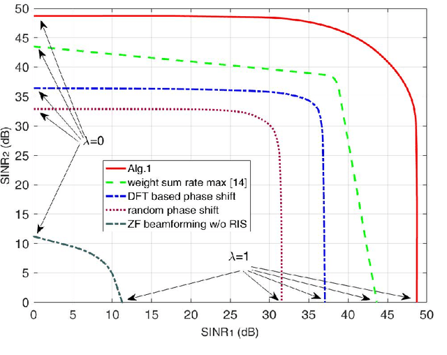
A two-user downlink network aided by a reconfigurable intelligent surface is considered. The weighted sum signal to interference plus noise ratio maximization and the sum rate maximization models are presented, where the precoding vectors and the RIS matrix are jointly optimized. Since the optimization problem is non-convex and difficult, new approximation models are proposed. The upper bounds of the corresponding objective functions are derived and maximized. Two new algorithms based on the alternating direction method of multiplier are proposed. It is proved that the proposed algorithms converge to the KKT points of the approximation models as long as the iteration points converge. Simulation results show the good performances of the proposed models compared to state of the art algorithms.