



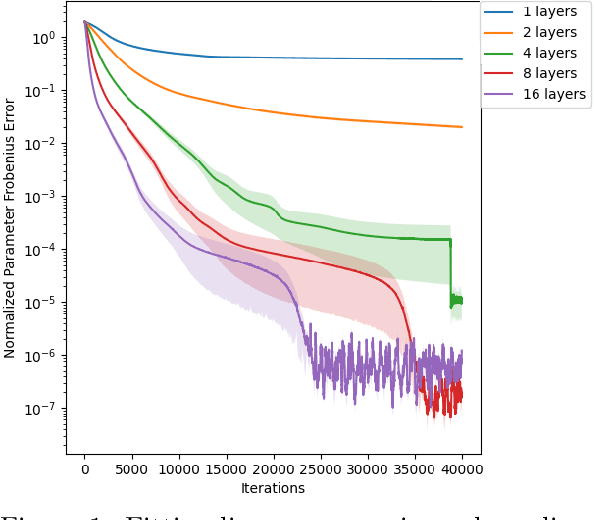
Normalizing flows are among the most popular paradigms in generative modeling, especially for images, primarily because we can efficiently evaluate the likelihood of a data point. Normalizing flows also come with difficulties: models which produce good samples typically need to be extremely deep -- which comes with accompanying vanishing/exploding gradient problems. Relatedly, they are often poorly conditioned since typical training data like images intuitively are lower-dimensional, and the learned maps often have Jacobians that are close to being singular. In our paper, we tackle representational aspects around depth and conditioning of normalizing flows -- both for general invertible architectures, and for a particular common architecture -- affine couplings. For general invertible architectures, we prove that invertibility comes at a cost in terms of depth: we show examples where a much deeper normalizing flow model may need to be used to match the performance of a non-invertible generator. For affine couplings, we first show that the choice of partitions isn't a likely bottleneck for depth: we show that any invertible linear map (and hence a permutation) can be simulated by a constant number of affine coupling layers, using a fixed partition. This shows that the extra flexibility conferred by 1x1 convolution layers, as in GLOW, can in principle be simulated by increasing the size by a constant factor. Next, in terms of conditioning, we show that affine couplings are universal approximators -- provided the Jacobian of the model is allowed to be close to singular. We furthermore empirically explore the benefit of different kinds of padding -- a common strategy for improving conditioning -- on both synthetic and real-life datasets.