



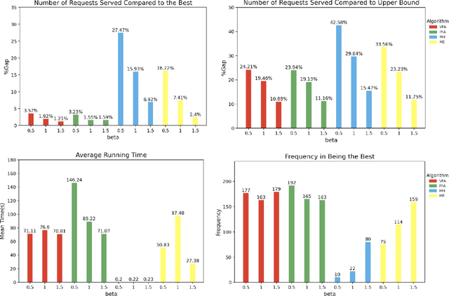
In this paper, we study a sequential decision making problem faced by e-commerce carriers related to when to send out a vehicle from the central depot to serve customer requests, and in which order to provide the service, under the assumption that the time at which parcels arrive at the depot is stochastic and dynamic. The objective is to maximize the number of parcels that can be delivered during the service hours. We propose two reinforcement learning approaches for solving this problem, one based on a policy function approximation (PFA) and the second on a value function approximation (VFA). Both methods are combined with a look-ahead strategy, in which future release dates are sampled in a Monte-Carlo fashion and a tailored batch approach is used to approximate the value of future states. Our PFA and VFA make a good use of branch-and-cut-based exact methods to improve the quality of decisions. We also establish sufficient conditions for partial characterization of optimal policy and integrate them into PFA/VFA. In an empirical study based on 720 benchmark instances, we conduct a competitive analysis using upper bounds with perfect information and we show that PFA and VFA greatly outperform two alternative myopic approaches. Overall, PFA provides best solutions, while VFA (which benefits from a two-stage stochastic optimization model) achieves a better tradeoff between solution quality and computing time.