



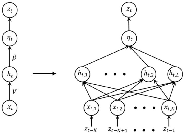
We propose a new class of financial volatility models, which we call the REcurrent Conditional Heteroskedastic (RECH) models, to improve both the in-sample analysis and out-of-sample forecast performance of the traditional conditional heteroskedastic models. In particular, we incorporate auxiliary deterministic processes, governed by recurrent neural networks, into the conditional variance of the traditional conditional heteroskedastic models, e.g. the GARCH-type models, to flexibly capture the dynamics of the underlying volatility. The RECH models can detect interesting effects in financial volatility overlooked by the existing conditional heteroskedastic models such as the GARCH (Bollerslev, 1986), GJR (Glosten et al., 1993) and EGARCH (Nelson, 1991). The new models often have good out-of-sample forecasts while still explain well the stylized facts of financial volatility by retaining the well-established structures of the econometric GARCH-type models. These properties are illustrated through simulation studies and applications to four real stock index datasets. An user-friendly software package together with the examples reported in the paper are available at https://github.com/vbayeslab.