



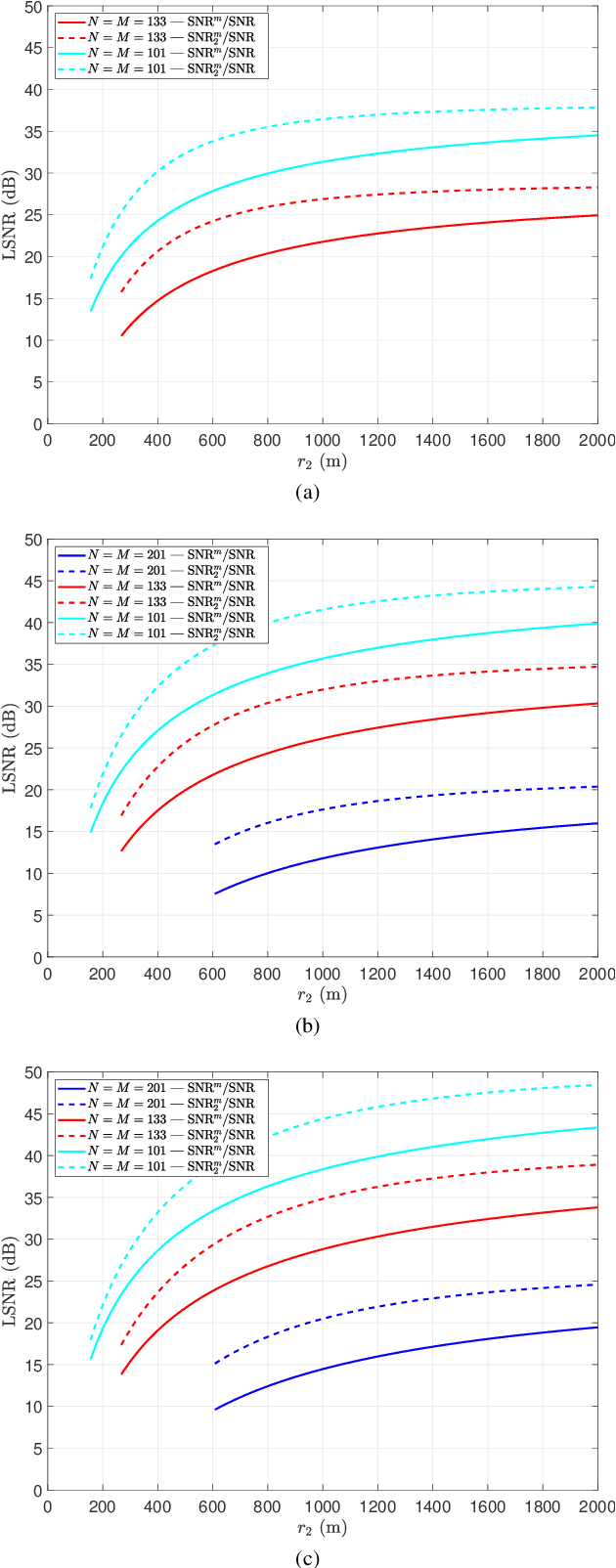
This paper deals with the use of Reconfigurable Intelligent Surfaces (RISs) for radar surveillance in Non-Line Of Sight (N-LOS) scenarios. First of all, the geometry of the scene and the new system concept is described with emphasis on the required operative modes and the role played by the RIS. Then, the specific radar equation (including the RIS effect) is developed to manage the coverage requirements in the challenging region where the LOS is not present. Both noise and clutter interference cases (pulse length-limited and beamwidth-limited surface clutter as well as volume clutter) are considered. Hence, a digression on the use of the radar timeline for the new operative mode is presented together with the data acquisition procedure and the resolution issues for the range, azimuth, and Doppler domains. Finally, the interplay among the system parameters and, in particular, those involving the RIS is discussed and analyzed via numerical simulations.