


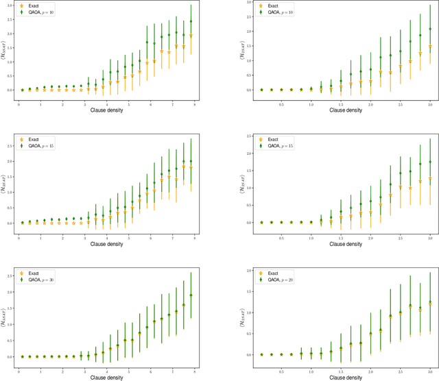
The quantum approximate optimization algorithm (QAOA) has rapidly become a cornerstone of contemporary quantum algorithm development. Despite a growing range of applications, only a few results have been developed towards understanding the algorithms ultimate limitations. Here we report that QAOA exhibits a strong dependence on a problem instances constraint to variable ratio - this problem density places a limiting restriction on the algorithms capacity to minimize a corresponding objective function (and hence solve optimization problems). Such 'reachability deficits' persist even in the absence of barren plateaus [McClean et al., 2018] and are outside of the recently reported level-1 QAOA limitations [Hastings 2019]. Building on general numerical experiments, we compare the presence of reachability deficits with analytic solutions of the variational model of Grover's search algorithm.