

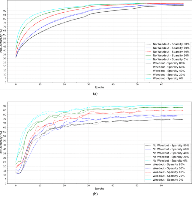
Sparse neural networks have shown similar or better generalization performance than their dense counterparts while having higher parameter efficiency. This has motivated a number of works to learn or search for high performing sparse networks. While reports of task performance or efficiency gains are impressive, standard baselines are lacking leading to poor comparability and unreliable reproducibility across methods. In this work, we propose Random Search as a baseline algorithm for finding good sparse configurations and study its performance. We apply Random Search on the node space of an overparameterized network with the goal of finding better initialized sparse sub-networks that are positioned more advantageously in the loss landscape. We record the post-training performances of the found sparse networks and at various levels of sparsity, and compare against both their fully connected parent networks and random sparse configurations at the same sparsity levels. First, we demonstrate performance at different levels of sparsity and highlight that a significant level of performance can still be preserved even when the network is highly sparse. Second, we observe that for this sparse architecture search task, initialized sparse networks found by Random Search neither perform better nor converge more efficiently than their random counterparts. Thus we conclude that Random Search may be viewed as a reasonable neutral baseline for sparsity search methods.