Quick HyperVolume

Add code
Nov 29, 2012
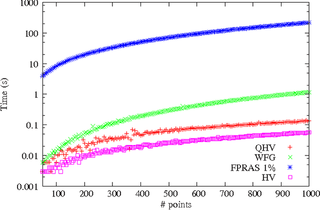
Figure 1 for Quick HyperVolume
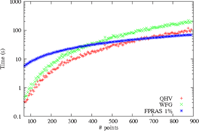
Figure 2 for Quick HyperVolume
Figure 3 for Quick HyperVolume
Figure 4 for Quick HyperVolume

Share this with someone who'll enjoy it:

View paper onarxiv icon

Share this with someone who'll enjoy it: