



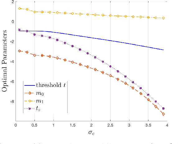
Distributed detection primarily centers around two approaches: Unquantized Distributed Detection (UDD), where each sensor reports its complete observation to the fusion center (FC), and quantized-and-Coded DD (CDD), where each sensor first partitions the observation space and then reports to the FC a codeword. In this paper, we introduce Quantized-but-uncoded DD (QDD), where each sensor, after quantization, transmits a summarized value, instead of a codeword, to the FC. We show that QDD well adapts to the constraint of transmission power when compared to CDD, albeit with increased complexity in parameter selection. Moreover, we establish that, in the presence of independent observations, QDD upholds a necessary condition inherent in CDD. Specifically, the optimal sensor decision rules are the likelihood ratio quantizers (LRQ), irrelevant to the channel conditions. In the context of a single-sensor scenario involving binary decision at the sensor, we find that the optimal sensor rule in QDD is in general no longer ``channel blind", a feature presented in CDD. In addition, we compare these systems numerically under the same transmission power and bandwidth, while assuming additive white Gaussian noise (AWGN) in both sensing and reporting stages. Finally, we present some potential directions for future research.