



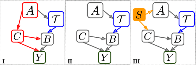
Understanding what leads to effective conversations can aid the design of better computer-mediated communication platforms. In particular, prior observational work has sought to identify behaviors of individuals that correlate to their conversational efficiency. However, translating such correlations to causal interpretations is a necessary step in using them in a prescriptive fashion to guide better designs and policies. In this work, we formally describe the problem of drawing causal links between conversational behaviors and outcomes. We focus on the task of determining a particular type of policy for a text-based crisis counseling platform: how best to allocate counselors based on their behavioral tendencies exhibited in their past conversations. We apply arguments derived from causal inference to underline key challenges that arise in conversational settings where randomized trials are hard to implement. Finally, we show how to circumvent these inference challenges in our particular domain, and illustrate the potential benefits of an allocation policy informed by the resulting prescriptive information.