



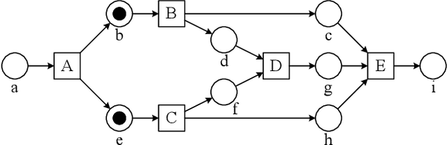
Concurrency is an important aspect of (Petri) nets to describe and simulate the behavior of complex systems. Knowing which places and transitions could be executed in parallel helps to understand nets and enables analysis techniques and the computation of other properties, such as causality, exclusivity, etc.. All techniques based on concurrency detection depend on the efficiency of this detection methodology. Kovalyov and Esparza have developed algorithms that compute all concurrent places in $O\big((P+T)TP^2\big)$ for live nets (where $P$ and $T$ are the numbers of places and transitions) and in $O\big(P(P+T)^2\big)$ for live free-choice nets. Although these algorithms have a reasonably good computational complexity, large numbers of concurrent pairs of nodes may still lead to long computation times. Furthermore, both algorithms cannot be parallelized without additional effort. This paper complements the palette of concurrency detection algorithms with the Concurrent Paths (CP) algorithm for safe, live, free-choice nets. The algorithm allows parallelization and has a worst-case computational complexity of $O\big((P+T)^2\big)$ for acyclic nets and of $O\big(P^3+PT^2\big)$ for cyclic nets. Although the computational complexity of cyclic nets has not improved, the evaluation shows the benefits of CP, especially, if the net contains many nodes in concurrency relation.