



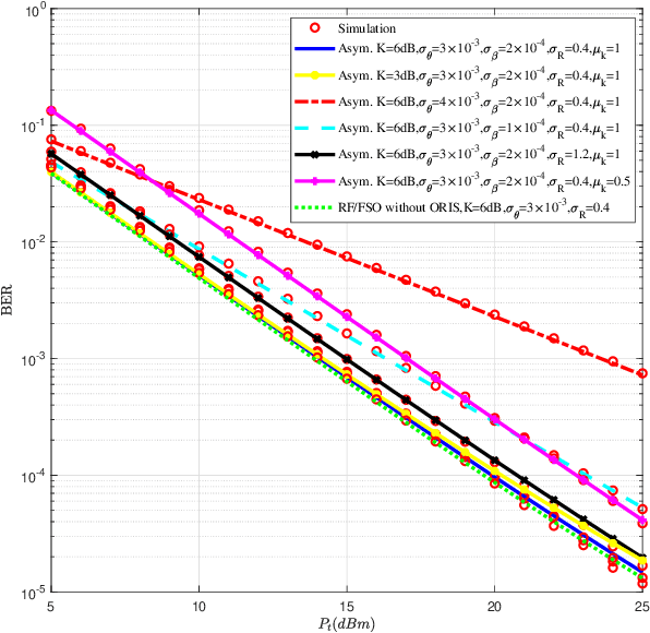
Optical reconfigurable intelligent surface (ORIS) is an emerging technology that can achieve reconfigurable optical propagation environments by precisely adjusting signal's reflection and shape through a large number of passive reflecting elements. In this paper, we investigate the performance of an ORIS-assisted dual-hop hybrid radio frequency (RF) and free space optics (FSO) communication system. By jointly considering the physical models of ORIS, RF channel, atmospheric turbulence, and pointing error, the closed-form solutions of the system's precise outage probability, asymptotic outage probability and BER have been derived. It is shown through numerical results that the derivation results are accurate and the RF-FSO links with ORISs show a slightly worse performance than the traditional RF-FSO links. Based on theoretical analysis and simulation results, the system design and effect of each parameter have been discussed.