



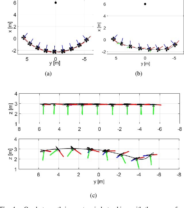
We present a perception constrained visual predictive control (PCVPC) algorithm for quadrotors to enable aggressive flights without using any position information. Our framework leverages nonlinear model predictive control (NMPC) to formulate a constrained image-based visual servoing (IBVS) problem. The quadrotor dynamics, image dynamics, actuation constraints, and visibility constraints are taken into account to handle quadrotor maneuvers with high agility. Two main challenges of applying IBVS to agile drones are considered: (i) high sensitivity of depths to intense orientation changes, and (ii) conflict between the visual servoing objective and action objective due to the underactuated nature. To deal with the first challenge, we parameterize a visual feature by a bearing vector and a distance, by which the depth will no longer be involved in the image dynamics. Meanwhile, we settle the conflict problem by compensating for the rotation in the future visual servoing cost using the predicted orientations of the quadrotor. Our approach in simulation shows that (i) it can work without any position information, (ii) it can achieve a maximum referebce speed of 9 m/s in trajectory tracking without losing the target, and (iii) it can reach a landmark, e.g., a gate in drone racing, from varied initial configurations.