



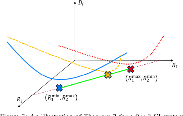
In recent studies, collaborative intelligence (CI) has emerged as a promising framework for deployment of Artificial Intelligence (AI)-based services on mobile/edge devices. In CI, the AI model (a deep neural network) is split between the edge and the cloud, and intermediate features are sent from the edge sub-model to the cloud sub-model. In this paper, we study bit allocation for feature coding in multi-stream CI systems. We model task distortion as a function of rate using convex surfaces similar to those found in distortion-rate theory. Using such models, we are able to provide closed-form bit allocation solutions for single-task systems and scalarized multi-task systems. Moreover, we provide analytical characterization of the full Pareto set for 2-stream k-task systems, and bounds on the Pareto set for 3-stream 2-task systems. Analytical results are examined on a variety of DNN models from the literature to demonstrate wide applicability of the results