



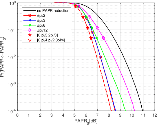
Affine frequency division multiplexing (AFDM) is a promising new multicarrier technique based on discrete affine Fourier transform (DAFT). By properly tuning pre-chirp parameter and post-chirp parameter in the DAFT, the effective channel in the DAFT domain can completely avoid overlap of different paths, thus constitutes a full representation of delay-Doppler profile, which significantly improves the system performance in high mobility scenarios. However, AFDM has the crucial problem of high peak-to-average power ratio (PAPR) caused by phase randomness of modulated symbols. In this letter, an algorithm named grouped pre-chirp selection (GPS) is proposed to reduce the PAPR by changing the value of pre-chirp parameter on sub-carriers group by group. Specifically, it is demonstrated first that the important properties of AFDM system are maintained when implementing GPS. Secondly, we elaborate the operation steps of GPS algorithm, illustrating its effect on PAPR reduction and its advantage in terms of computational complexity compared with the ungrouped approach. Finally, simulation results of PAPR reduction in the form of complementary cumulative distribution function (CCDF) show the effectiveness of the proposed GPS algorithm.