



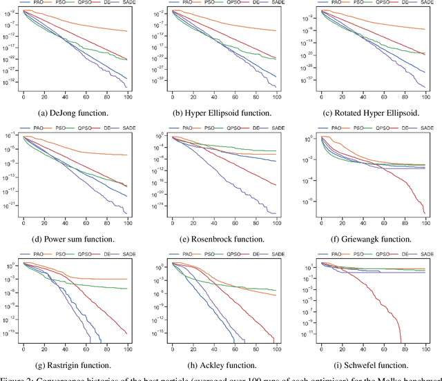
A great deal of research has been conducted in the consideration of meta-heuristic optimisation methods that are able to find global optima in settings that gradient based optimisers have traditionally struggled. Of these, so-called particle swarm optimisation (PSO) approaches have proven to be highly effective in a number of application areas. Given the maturity of the PSO field, it is likely that novel variants of the PSO algorithm stand to offer only marginal gains in terms of performance -- there is, after all, no free lunch. Instead of only chasing performance on suites of benchmark optimisation functions, it is argued herein that research effort is better placed in the pursuit of algorithms that also have other useful properties. In this work, a highly-general, interpretable variant of the PSO algorithm -- particle attractor algorithm (PAO) -- is proposed. Furthermore, the algorithm is designed such that the transition densities (describing the motions of the particles from one generation to the next) can be computed exactly in closed form for each step. Access to closed-form transition densities has important ramifications for the closely-related field of Sequential Monte Carlo (SMC). In order to demonstrate that the useful properties do not come at the cost of performance, PAO is compared to several other state-of-the art heuristic optimisation algorithms in a benchmark comparison study.