



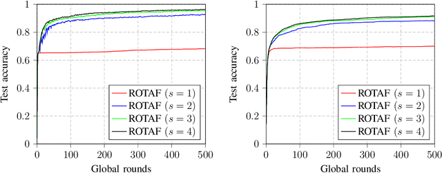
Federated learning (FL) is a promising solution to enable many AI applications, where sensitive datasets from distributed clients are needed for collaboratively training a global model. FL allows the clients to participate in the training phase, governed by a central server, without sharing their local data. One of the main challenges of FL is the communication overhead, where the model updates of the participating clients are sent to the central server at each global training round. Over-the-air computation (AirComp) has been recently proposed to alleviate the communication bottleneck where the model updates are sent simultaneously over the multiple-access channel. However, simple averaging of the model updates via AirComp makes the learning process vulnerable to random or intended modifications of the local model updates of some Byzantine clients. In this paper, we propose a transmission and aggregation framework to reduce the effect of such attacks while preserving the benefits of AirComp for FL. For the proposed robust approach, the central server divides the participating clients randomly into groups and allocates a transmission time slot for each group. The updates of the different groups are then aggregated using a robust aggregation technique. We extend our approach to handle the case of non-i.i.d. local data, where a resampling step is added before robust aggregation. We analyze the convergence of the proposed approach for both cases of i.i.d. and non-i.i.d. data and demonstrate that the proposed algorithm converges at a linear rate to a neighborhood of the optimal solution. Experiments on real datasets are provided to confirm the robustness of the proposed approach.