



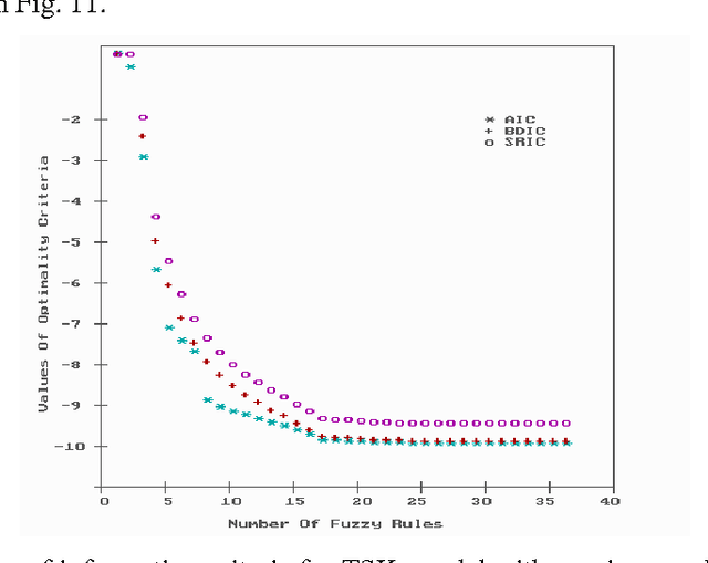
Fuzzy rule based models have a capability to approximate any continuous function to any degree of accuracy on a compact domain. The majority of FLC design process relies on heuristic knowledge of experience operators. In order to make the design process automatic we present a genetic approach to learn fuzzy rules as well as membership function parameters. Moreover, several statistical information criteria such as the Akaike information criterion (AIC), the Bhansali-Downham information criterion (BDIC), and the Schwarz-Rissanen information criterion (SRIC) are used to construct optimal fuzzy models by reducing fuzzy rules. A genetic scheme is used to design Takagi-Sugeno-Kang (TSK) model for identification of the antecedent rule parameters and the identification of the consequent parameters. Computer simulations are presented confirming the performance of the constructed fuzzy logic controller.