



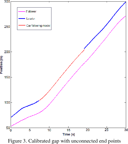
LIDAR has become an important part of many autonomous vehicles with its advantages on distance measurement and obstacle detection. LIDAR produces point clouds which have important information about surrounding environment. In this paper, we collected trajectory data on a two lane urban road using a Velodyne VLP-16 Lidar. Due to dynamic nature of data collection and limited range of the sensor, some of these trajectories have missing points or gaps. In this paper, we propose a novel method for recovery of missing vehicle trajectory data points using microscopic traffic flow models. While short gaps (less than 5 seconds) can be recovered with simple linear regression, and longer gaps are recovered with the proposed method that makes use of car following models calibrated by assigning weights to known points based on proximity to the gaps. Newell's, Pipes, IDM and Gipps' car following models are calibrated and tested with the ground truth trajectory data from LIDAR and NGSIM I-80 dataset. Gipps' calibrated model yielded the best result.