



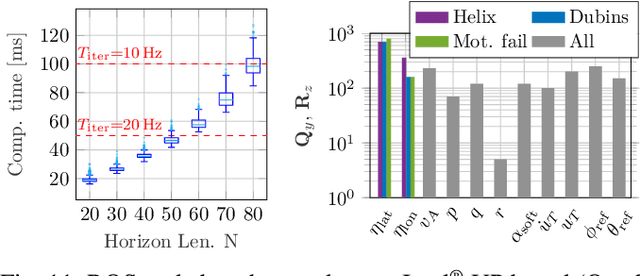
As off-the-shelf (OTS) autopilots become more widely available and user-friendly and the drone market expands, safer, more efficient, and more complex motion planning and control will become necessary for fixed-wing aerial robotic platforms. Considering typical low-level attitude stabilization available on OTS flight controllers, this paper first develops an approach for modeling and identification of the control augmented dynamics for a small fixed-wing Unmanned Aerial Vehicle (UAV). A high-level Nonlinear Model Predictive Controller (NMPC) is subsequently formulated for simultaneous airspeed stabilization, path following, and soft constraint handling, using the identified model for horizon propagation. The approach is explored in several exemplary flight experiments including path following of helix and connected Dubins Aircraft segments in high winds as well as a motor failure scenario. The cost function, insights on its weighting, and additional soft constraints used throughout the experimentation are discussed.