
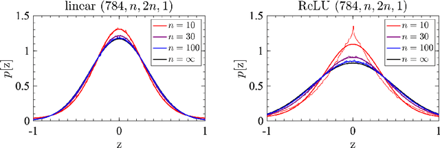
Gaussian processes are ubiquitous in nature and engineering. A case in point is a class of neural networks in the infinite-width limit, whose priors correspond to Gaussian processes. Here we perturbatively extend this correspondence to finite-width neural networks, yielding non-Gaussian processes as priors. The methodology developed herein allows us to track the flow of preactivation distributions by progressively integrating out random variables from lower to higher layers, reminiscent of renormalization-group flow. We further develop a perturbative procedure to perform Bayesian inference with weakly non-Gaussian priors.