



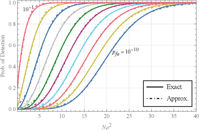
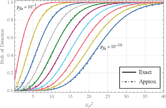
Noise radars have the same mathematical description as a type of quantum radar known as quantum two-mode squeezing radar. Although their physical implementations are very different, this mathematical similarity allows us to analyze them collectively. We may consider the two types of radars as forming a single class of radars, called noise-type radars. The target detection performance of noise-type radars depends on two parameters: the number of integrated samples and a correlation coefficient. In this paper, we show that when the number of integrated samples is large and the correlation coefficient is low, the detection performance becomes a function of a single parameter: the number of integrated samples multiplied by the square of the correlation coefficient. We then explore the detection performance of noise-type radars in terms of this emergent parameter; in particular, we determine the probability of detection as a function of this parameter.