



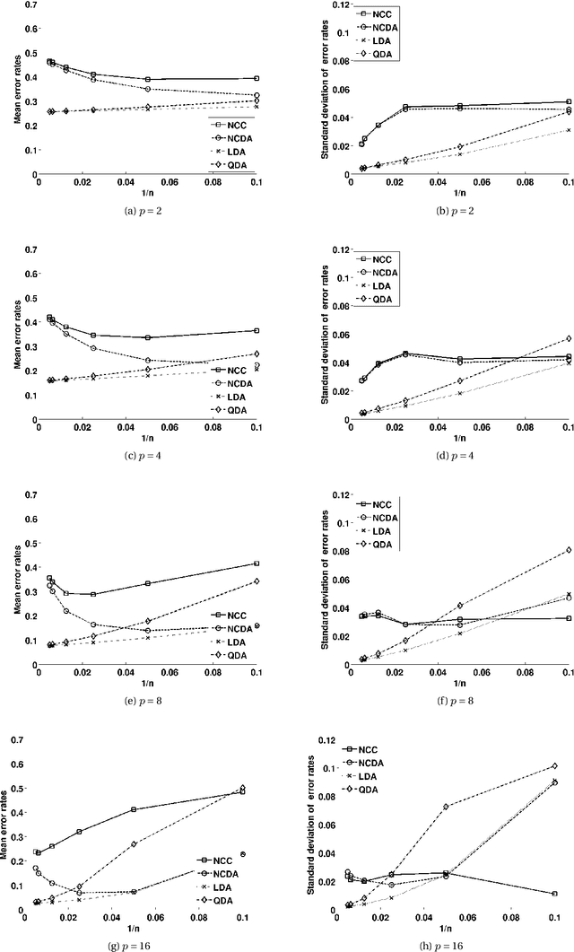
Nested Cavity Classifier (NCC) is a classification rule that pursues partitioning the feature space, in parallel coordinates, into convex hulls to build decision regions. It is claimed in some literatures that this geometric-based classifier is superior to many others, particularly in higher dimensions. First, we give an example on how NCC can be inefficient, then motivate a remedy by combining the NCC with the Linear Discriminant Analysis (LDA) classifier. We coin the term Nested Cavity Discriminant Analysis (NCDA) for the resulting classifier. Second, a simulation study is conducted to compare both, NCC and NCDA to another two basic classifiers, Linear and Quadratic Discriminant Analysis. NCC alone proves to be inferior to others, while NCDA always outperforms NCC and competes with LDA and QDA.