



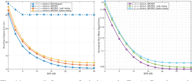
Integrated Sensing and Communication (ISAC) systems combine sensing and communication functionalities within a unified framework, enhancing spectral efficiency and reducing costs by utilizing shared hardware components. This paper investigates multipath component power delay profile (MPCPDP)-based joint range and Doppler estimation for Affine Frequency Division Multiplexing (AFDM)-ISAC systems. The path resolvability of the equivalent channel in the AFDM system allows the recognition of Line-of-Sight (LoS) and Non-Line-of-Sight (NLoS) paths within a single pilot symbol in fast time-varying channels. We develop a joint estimation model that leverages multipath Doppler shifts and delays information under the AFDM waveform. Utilizing the MPCPDP, we propose a novel ranging method that exploits the range-dependent magnitude of the MPCPDP across its delay spread by constructing a Nakagami-m statistical fading model for MPC channel fading and correlating the distribution parameters with propagation distance in AFDM systems. This method eliminates the need for additional time synchronization or extra hardware. We also transform the nonlinear Doppler estimation problem into a bilinear estimation problem using a First-order Taylor expansion. Moreover, we introduce the Expectation Maximization algorithm to estimate the hyperparameters and leverage the Expectation Consistent algorithm to cope with high-dimensional integration challenges. Extensive numerical simulations demonstrate the effectiveness of our MPCPDP-based joint range and Doppler estimation in ISAC systems.