



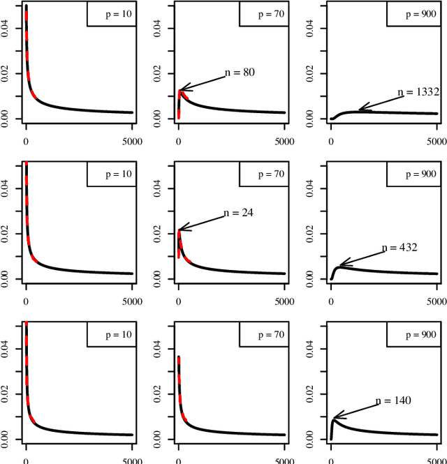
The most important aspect of any classifier is its error rate, because this quantifies its predictive capacity. Thus, the accuracy of error estimation is critical. Error estimation is problematic in small-sample classifier design because the error must be estimated using the same data from which the classifier has been designed. Use of prior knowledge, in the form of a prior distribution on an uncertainty class of feature-label distributions to which the true, but unknown, feature-distribution belongs, can facilitate accurate error estimation (in the mean-square sense) in circumstances where accurate completely model-free error estimation is impossible. This paper provides analytic asymptotically exact finite-sample approximations for various performance metrics of the resulting Bayesian Minimum Mean-Square-Error (MMSE) error estimator in the case of linear discriminant analysis (LDA) in the multivariate Gaussian model. These performance metrics include the first, second, and cross moments of the Bayesian MMSE error estimator with the true error of LDA, and therefore, the Root-Mean-Square (RMS) error of the estimator. We lay down the theoretical groundwork for Kolmogorov double-asymptotics in a Bayesian setting, which enables us to derive asymptotic expressions of the desired performance metrics. From these we produce analytic finite-sample approximations and demonstrate their accuracy via numerical examples. Various examples illustrate the behavior of these approximations and their use in determining the necessary sample size to achieve a desired RMS. The Supplementary Material contains derivations for some equations and added figures.