



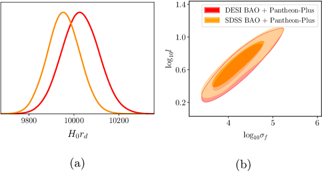
In this work, we implement Gaussian process regression to reconstruct the expansion history of the universe in a model-agnostic manner, using the Pantheon-Plus SN-Ia compilation in combination with two different BAO measurements (SDSS-IV and DESI DR1). In both the reconstructions, the $\Lambda$CDM model is always included in the 95\% confidence intervals. We find evidence that the DESI LRG data at $z_{\text{eff}} = 0.51$ is not an outlier within our model-independent framework. We study the $\mathcal{O}m$-diagnostics and the evolution of the total equation of state (EoS) of our universe, which hint towards the possibility of a quintessence-like dark energy scenario with a very slowly varying EoS, and a phantom-crossing in higher $z$. The entire exercise is later complemented by considering two more SN-Ia compilations - DES-5YR and Union3 - in combination with DESI BAO. Reconstruction with the DESI BAO + DES-5YR SN data sets predicts that the $\Lambda$CDM model lies outside the 3$\sigma$ confidence levels, whereas with DESI BAO + Union3 data, the $\Lambda$CDM model is always included within 1$\sigma$. We also report constraints on $H_0 r_d$ from our model-agnostic analysis, independent of the pre-recombination physics. Our results point towards an $\approx$ 2$\sigma$ discrepancy between the DESI + Pantheon-Plus and DESI + DES-5YR data sets, which calls for further investigation.