



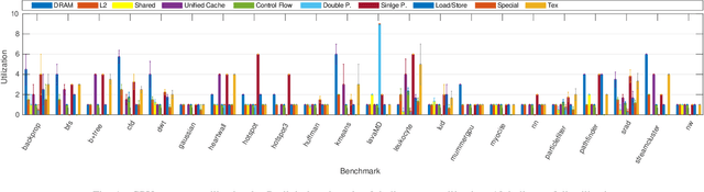
This paper presents Mirovia, a benchmark suite developed for modern day heterogeneous computing. Previous benchmark suites such as Rodinia and SHOC are well written and have many desirable features. However, these tools were developed years ago when hardware was less powerful and software had fewer features. For example, unified memory was introduced in CUDA 6 as a new programming model and wasn't available when Rodinia was released. Meanwhile, the increasing demand for graphics processing units (GPUs) due to the recent rise in popularity of deep neural networks (DNNs) has opened doors for many new research problems. It is essential to consider DNNs as first-class citizens in a comprehensive benchmark suite. However, the main focus is usually limited to inference and model performance evaluation, which is not desirable for hardware architects studying for emerging platforms. Drawing inspiration from Rodinia and SHOC, Mirovia is a benchmark suite that is designed to take advantage of modern GPU architectures, while also representing a diverse set of application domains. By adopting applications from Rodinia and SHOC, and including newly written applications with special focus on DNNs, Mirovia better characterizes modern heterogeneous systems.