Minimum Phase Linear Antenna Array Design

Add code
Dec 21, 2022
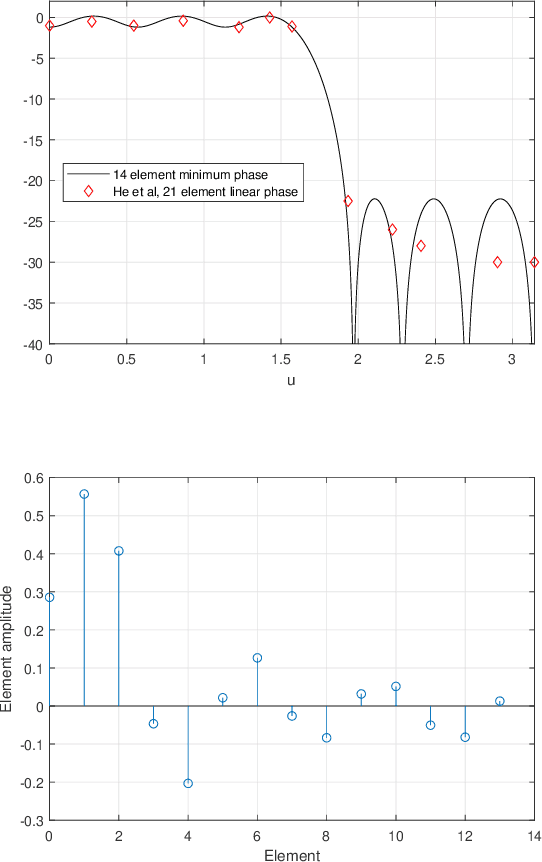
Figure 1 for Minimum Phase Linear Antenna Array Design
Figure 2 for Minimum Phase Linear Antenna Array Design
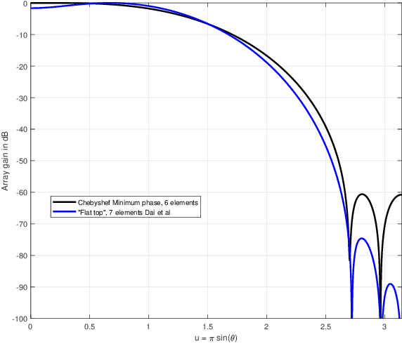
Figure 3 for Minimum Phase Linear Antenna Array Design
Figure 4 for Minimum Phase Linear Antenna Array Design

Share this with someone who'll enjoy it:

View paper onarxiv icon

Share this with someone who'll enjoy it: