



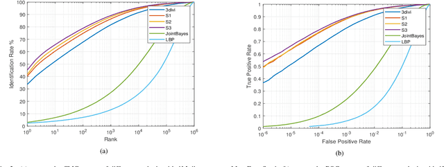
Face recognition has achieved great progress owing to the fast development of the deep neural network in the past a few years. As an important part of deep neural networks, a number of the loss functions have been proposed which significantly improve the state-of-the-art methods. In this paper, we proposed a new loss function called Minimum Margin Loss (MML) which aims at enlarging the margin of those overclose class centre pairs so as to enhance the discriminative ability of the deep features. MML supervises the training process together with the Softmax Loss and the Centre Loss, and also makes up the defect of Softmax + Centre Loss. The experimental results on MegaFace, LFW and YTF datasets show that the proposed method achieves the state-of-the-art performance, which demonstrates the effectiveness of the proposed MML.