



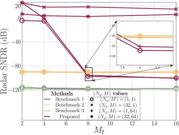
The following paper presents a reconfigurable intelligent surface (RIS)-aided integrated sensing and communication (ISAC) system model scenario, where a base station communicates with a user, and a bi-static sensing unit, i.e. the passive radar (PR), senses targets using downlink signals. Given that the RIS aids with communication and sensing tasks, this paper introduces new interfering paths that can overwhelm the PR with unnecessarily high power, namely the path interference (PI), \textit{which is itself a combination of two interfering paths, the direct path interference (DPI) and the reflected path interference (RPI)}. For this, we formulate an optimization framework that allows the system to carry on with its ISAC tasks, through analog space-time beamforming at the sensing unit, in collaboration with RIS phase shift and statistical transmit covariance matrix optimization, while minimizing the PI power. As the proposed optimization problem is non-convex, we tailor a block-cyclic coordinate descent (BCCD) method to decouple the non-convex sub-problem from the convex one. A Riemannian conjugate gradient method is devised to generate the RIS and PR space-time beamforming phase shifts per BCCD iteration, while the convex sub-problem is solved via off-the-shelf solvers. Simulation results demonstrate the effectiveness of the proposed solver when compared with benchmarking ones.