



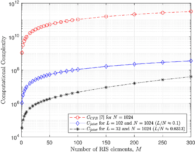
Accurate channel estimation is essential for achieving the performance gains offered by reconfigurable intelligent surface (RIS)-assisted wireless communications. Recently, a large number of channel estimation methods for RIS-assisted wireless communications have been proposed. However, none of the existing methods takes into account the influence of carrier frequency offset (CFO). In general, CFO can significantly degrade channel estimation for orthogonal frequency division multiplexing (OFDM) systems, since it breaks the orthogonality of subcarriers. Motivated by this, we investigate the effect of CFO on channel estimation for RIS-aided OFDM systems. Furthermore, we propose a joint CFO and channel impulse response (CIR) estimation method for RIS-aided OFDM systems. Simulation results demonstrate the effectiveness of our proposed joint CFO and CIR estimation method, and also demonstrate that the use of the time domain for estimation in this context results in a factor of 10 improvement in the mean-squared error (MSE) performance of channel estimation. Finally, the total computational complexity of the proposed method, including both CFO and channel estimation, is lower than the complexity of the conventional frequency-domain channel estimation method without CFO estimation.