

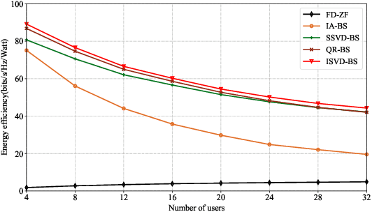
To realize mmWave massive MIMO systems in practice, Beamspace MIMO with beam selection provides an attractive solution at a considerably reduced number of radio frequency (RF) chains. We propose low-complexity beam selection algorithms based on singular value decomposition (SVD). We first diagonalize the channel matrix by SVD, and the appropriate beams are selected one-by-one in a decremental or incremental order based on the criterion of sum-rate maximization. To reduce the complexity of the proposed algorithms significantly, we make use of SVD in the last iteration to aviod SVD from scratch again. Meanwhile, our proposed algorithms naturally obtain the precoding matrix, which can eliminate the multiusers interference. Simulation results demonstrate that our proposed algorithms can outperform the competing algorithms, including the fully digital zero-precoding.