



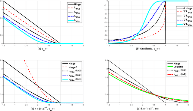
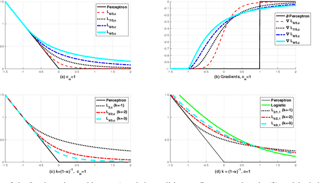
Classification is the most important process in data analysis. However, due to the inherent non-convex and non-smooth structure of the zero-one loss function of the classification model, various convex surrogate loss functions such as hinge loss, squared hinge loss, logistic loss, and exponential loss are introduced. These loss functions have been used for decades in diverse classification models, such as SVM (support vector machine) with hinge loss, logistic regression with logistic loss, and Adaboost with exponential loss and so on. In this work, we present a Perceptron-augmented convex classification framework, {\it Logitron}. The loss function of it is a smoothly stitched function of the extended logistic loss with the famous Perceptron loss function. The extended logistic loss function is a parameterized function established based on the extended logarithmic function and the extended exponential function. The main advantage of the proposed Logitron classification model is that it shows the connection between SVM and logistic regression via polynomial parameterization of the loss function. In more details, depending on the choice of parameters, we have the Hinge-Logitron which has the generalized $k$-th order hinge-loss with an additional $k$-th root stabilization function and the Logistic-Logitron which has a logistic-like loss function with relatively large $|k|$. Interestingly, even $k=-1$, Hinge-Logitron satisfies the classification-calibration condition and shows reasonable classification performance with low computational cost. The numerical experiment in the linear classifier framework demonstrates that Hinge-Logitron with $k=4$ (the fourth-order SVM with the fourth root stabilization function) outperforms logistic regression, SVM, and other Logitron models in terms of classification accuracy.