



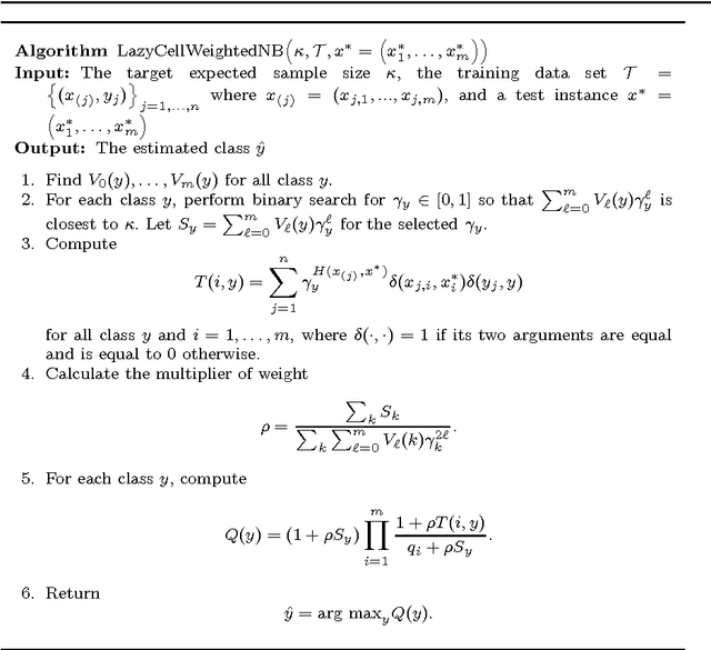
As a consequence of the strong and usually violated conditional independence assumption (CIA) of naive Bayes (NB) classifier, the performance of NB becomes less and less favorable compared to sophisticated classifiers when the sample size increases. We learn from this phenomenon that when the size of the training data is large, we should either relax the assumption or apply NB to a "reduced" data set, say for example use NB as a local model. The latter approach trades the ignored information for the robustness to the model assumption. In this paper, we consider using NB as a model for locally weighted data. A special weighting function is designed so that if CIA holds for the unweighted data, it also holds for the weighted data. The new method is intuitive and capable of handling class imbalance. It is theoretically more sound than the locally weighted learners of naive Bayes that base classification only on the $k$ nearest neighbors. Empirical study shows that the new method with appropriate choice of parameter outperforms seven existing classifiers of similar nature.