



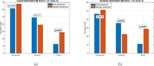
Two types of consonant gemination characterize Italian: lexical and syntactic. Italian lexical gemination is contrastive, so that two words may differ by only one geminated consonant. In contrast, syntactic gemination occurs across word boundaries, and affects the initial consonant of a word in specific contexts, such as the presence of a monosyllabic morpheme before the word. This study investigates the acoustic correlates of Italian lexical and syntactic gemination, asking if the correlates for the two types are similar in the case of stop consonants. Results confirmed previous studies showing that duration is a prominent gemination cue, with a lengthened consonant closure and a shortened pre-consonant vowel for both types. Results also revealed the presence, in about 10-12% of instances, of a double stop-release burst, providing strong support for the biphonematic nature of Italian geminated stop consonants. Moreover, the timing of these bursts suggests a different planning process for lexical vs. syntactic geminates. The second burst, when present, is accommodated within the closure interval in syntactic geminates, while lexical geminates are lengthened by the extra burst. This suggests that syntactic gemination occurs during a post-lexical phase of production planning, after timing has already been established.