



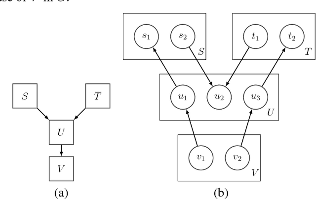
Bayesian networks, and especially their structures, are powerful tools for representing conditional independencies and dependencies between random variables. In applications where related variables form a priori known groups, chosen to represent different "views" to or aspects of the same entities, one may be more interested in modeling dependencies between groups of variables rather than between individual variables. Motivated by this, we study prospects of representing relationships between variable groups using Bayesian network structures. We show that for dependency structures between groups to be expressible exactly, the data have to satisfy the so-called groupwise faithfulness assumption. We also show that one cannot learn causal relations between groups using only groupwise conditional independencies, but also variable-wise relations are needed. Additionally, we present algorithms for finding the groupwise dependency structures.