



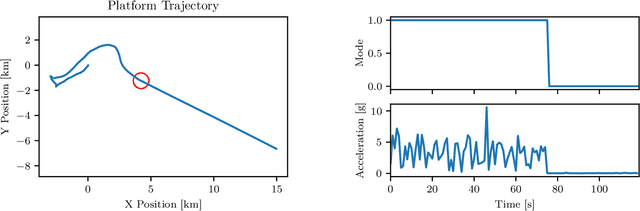
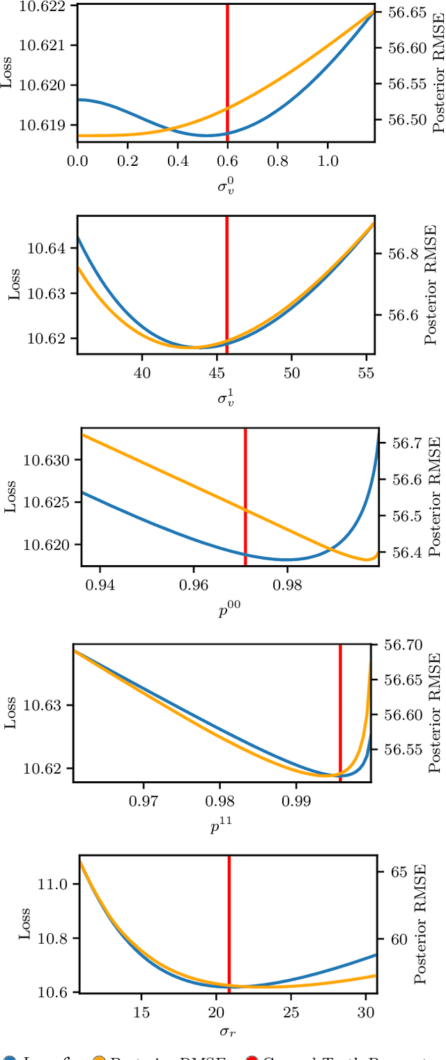
The performance of data fusion and tracking algorithms often depends on parameters that not only describe the sensor system, but can also be task-specific. While for the sensor system tuning these variables is time-consuming and mostly requires expert knowledge, intrinsic parameters of targets under track can even be completely unobservable until the system is deployed. With state-of-the-art sensor systems growing more and more complex, the number of parameters naturally increases, necessitating the automatic optimization of the model variables. In this paper, the parameters of an interacting multiple model (IMM) filter are optimized solely using measurements, thus without necessity for any ground-truth data. The resulting method is evaluated through an ablation study on simulated data, where the trained model manages to match the performance of a filter parametrized with ground-truth values.