



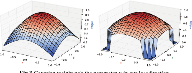
Geometric matching is a key step in computer vision tasks. Previous learning-based methods for geometric matching concentrate more on improving alignment quality, while we argue the importance of naturalness issue simultaneously. To deal with this, firstly, Pearson correlation is applied to handle large intra-class variations of features in feature matching stage. Then, we parametrize homography transformation with 9 parameters in full connected layer of our network, to better characterize large viewpoint variations compared with affine transformation. Furthermore, a novel loss function with Gaussian weights guarantees the model accuracy and efficiency in training procedure. Finally, we provide two choices for different purposes in geometric matching. When compositing homography with affine transformation, the alignment accuracy improves and all lines are preserved, which results in a more natural transformed image. When compositing homography with non-rigid thin-plate-spline transformation, the alignment accuracy further improves. Experimental results on Proposal Flow dataset show that our method outperforms state-of-the-art methods, both in terms of alignment accuracy and naturalness.