



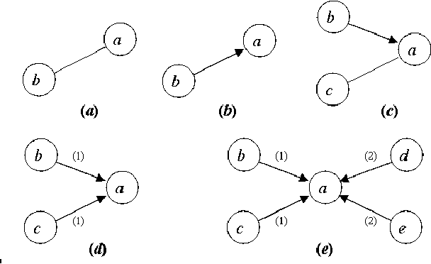
This article describes an approach to modeling knowledge acquisition in terms of walks along complex networks. Each subset of knowledge is represented as a node, and relations between such knowledge are expressed as edges. Two types of edges are considered, corresponding to free and conditional transitions. The latter case implies that a node can only be reached after visiting previously a set of nodes (the required conditions). The process of knowledge acquisition can then be simulated by considering the number of nodes visited as a single agent moves along the network, starting from its lowest layer. It is shown that hierarchical networks, i.e. networks composed of successive interconnected layers, arise naturally as a consequence of compositions of the prerequisite relationships between the nodes. In order to avoid deadlocks, i.e. unreachable nodes, the subnetwork in each layer is assumed to be a connected component. Several configurations of such hierarchical knowledge networks are simulated and the performance of the moving agent quantified in terms of the percentage of visited nodes after each movement. The Barab\'asi-Albert and random models are considered for the layer and interconnecting subnetworks. Although all subnetworks in each realization have the same number of nodes, several interconnectivities, defined by the average node degree of the interconnection networks, have been considered. Two visiting strategies are investigated: random choice among the existing edges and preferential choice to so far untracked edges. A series of interesting results are obtained, including the identification of a series of plateaux of knowledge stagnation in the case of the preferential movements strategy in presence of conditional edges.