



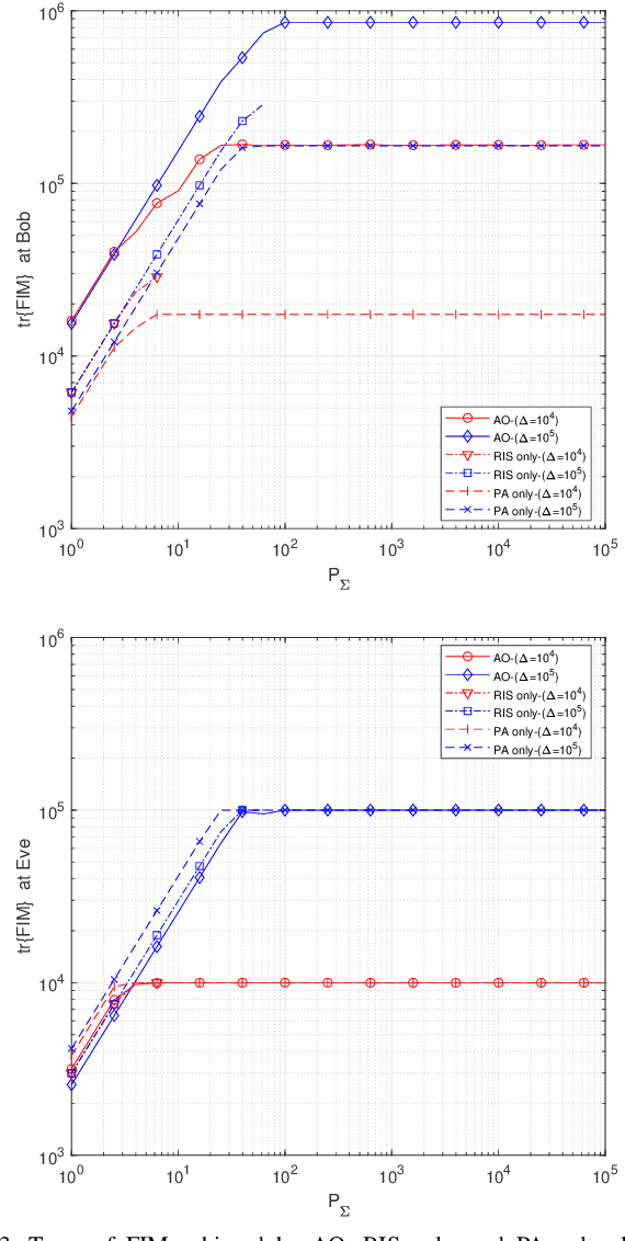
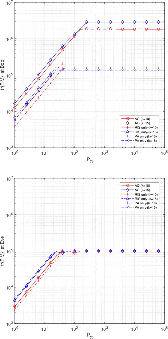
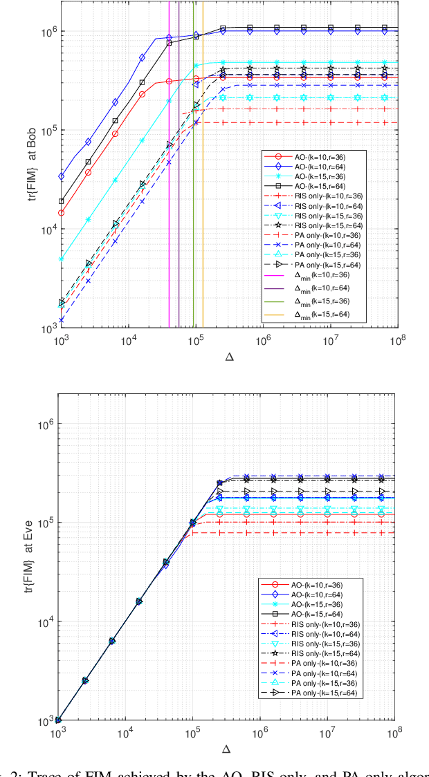
We consider secure transmission of a deterministic complex-valued parameter vector from a transmitter to an intended receiver in the presence of an eavesdropper in a reconfigurable intelligent surface (RIS)-integrated environment. We aim to jointly optimize the RIS phase profile and the power allocation matrix at the transmitter to enhance the estimation accuracy at the intended receiver while limiting that at the eavesdropper. We utilize the trace of the Fisher information matrix (FIM), equivalently, the average Fisher information, as the estimation accuracy metric, and obtain its closed form expression for the intended receiver and the eavesdropper. Accordingly, the joint RIS phase profile and power allocation problem is formulated, and it is solved via alternating optimization. When the power allocation matrix is fixed during alternating optimization, the optimal RIS phase profile design problem is formulated as a non-convex problem and it is solved via semidefinite relaxation and rank reduction. When the RIS phase profile is fixed, a linear programming formulation is obtained for optimal power allocation. Via simulations, the effects of RIS phase design and power allocation are illustrated individually and jointly. Moreover, extensions are provided by considering the presence of line of sight paths in the environment and the availability of RIS elements with adjustable magnitudes.