



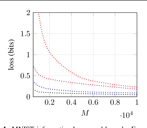
We propose a new way of interpreting active learning methods by analyzing the information `lost' upon sampling a random variable. We use some recent analytical developments of these losses to formally prove that facility location methods reduce these losses under mild assumptions, and to derive a new data dependent bound on information losses that can be used to evaluate other active learning methods. We show that this new bound is extremely tight to experiment, and further show that the bound has a decent predictive power for classification accuracy.