



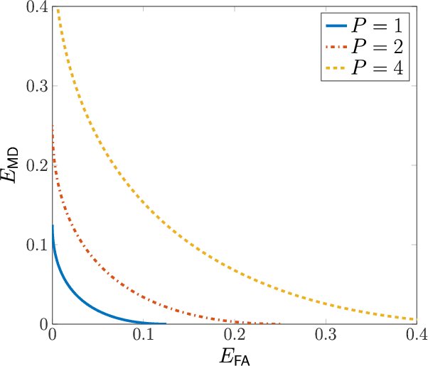
This work considers a problem of integrated sensing and communication (ISAC) in which the goal of sensing is to detect a binary state. Unlike most approaches that minimize the total detection error probability, in our work, we disaggregate the error probability into false alarm and missed detection probabilities and investigate their information-theoretic three-way tradeoff including communication data rate. We consider a broadcast channel that consists of a transmitter, a communication receiver, and a detector where the receiver's and the detector's channels are affected by an unknown binary state. We consider and present results on two different state-dependent models. In the first setting, the state is fixed throughout the entire transmission, for which we fully characterize the optimal three-way tradeoff between the coding rate for communication and the two possibly nonidentical error exponents for sensing in the asymptotic regime. The achievability and converse proofs rely on the analysis of the cumulant-generating function of the log-likelihood ratio. In the second setting, the state changes every symbol in an independently and identically distributed (i.i.d.) manner, for which we characterize the optimal tradeoff region based on the analysis of the receiver operating characteristic (ROC) curves.