



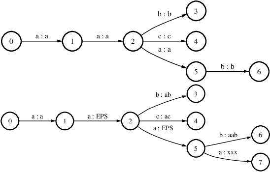
This paper presents an efficient algorithm for the incremental construction of a minimal acyclic sequential transducer (ST) for a dictionary consisting of a list of input and output strings. The algorithm generalises a known method of constructing minimal finite-state automata (Daciuk et al. 2000). Unlike the algorithm published by Mihov and Maurel (2001), it does not require the input strings to be sorted. The new method is illustrated by an application to pronunciation dictionaries.